Læreplankoblet

Felles divisor

Stikkord: Faktorisering Logikk

Problem

Finn det største heltallet som går opp i alle tallene i følgen

\({1^5} - {1, 2^5} - {2,3^5} - 3,...,{n^5} - n.\\ \)


Tilleggsspørsmål:

Kan du finne flere algebraiske uttrykk der det er mulig å si noe om et største tall som alle tall på den formen er delelig med?

Hvordan kan du designe slike uttrykk?

 

Løsning

Løsningsforslag 1

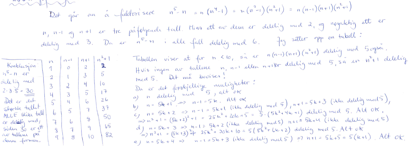
Vi ser at

\(\quad{n^5} - n \\ = n({n^4} - 1) \\ = n({n^2} - 1)({n^2} + 1) \\ = (n - 1) \cdot n \cdot (n + 1) \cdot ({n^2} + 1)\)


Siden produktet inneholder tre faktorer som er tre påfølgende tall, vil både 2 og 3 alltid være faktorer i produktet.

Hvis ingen av disse tre tallene er delelige med 5, vil vi ha enten n = 5k + 2 eller n = 5k + 3, der k er et helt tall. (Hvorfor?) I begge disse tilfellene vil \(n^2 + 1\) være delelig med 5:

\(\begin{array}{l} {(5k + 2)^2} + 1 = 25{k^2} + 20k + 4 + 1 = 25{k^2} + 20k + 5\\ {(5k + 3)^2} + 1 = 25{k^2} + 30k + 9 + 1 = 25{k^2} + 30k + 10 \end{array}\)
 
Siden 2, 3 og 5 er primtall, og alle går opp i tallene i den gitte følgen, vil 2 · 3 · 5 = 30 være faktor i alle \(n^5 - n\).

Det andre leddet i følgen er \(2^5 - 2=30\), så 30 må være det største tallet som går opp i alle ledd i følgen.

Løsningsforslag 2

Løsningsforslag 2
Trykk på bildet for å gjøre det større.

Løsningsforslag 3

Løsningsforslag 3
Trykk på bildet for å gjøre det større.

 

Ressursen er utviklet av NRICH

10