Læreplankoblet

Enda en tallfølge

Stikkord: Systematisering

Problem

Første leddet i en tallfølgeEn tallfølge er en følge hvor elementene er tall. Hvis alle elementene er heltall, kalles følgen en heltallsfølge. Eksempler på slike følger er følgen av primtall og Fibonacci-tallene; slike følger opptrer gjerne i tallteori og kombinatorikk. Mer generelt kan elementene være reelle eller komplekse tall. av positive heltall er 6. De øvrige leddene følger disse reglene:

  • Hvis et ledd er et partall, divider på 2 for å få neste ledd
  • Hvis et ledd er et oddetall, multipliser med 5 og trekk fra 1 for å få neste ledd.

For hvilke verdier av n vil det n-te leddet bli lik n?

Flere utforskningsspørsmål:

  • Hva skjer hvis vi starter med et annet tall enn 6?
  • Vil vi alltid finne en n, slik an \(a_n=n\)?
  • Vil det alltid skje at tallfølgen etter hvert begynner å gjenta seg selv?
  • Hva hvis vi har andre regler for \(\)\(a_ {n+1}\)?
  • Lag dine egne regler og sjekk!

Starthjelp

Skriv leddene i følgen, begynn med 6. Sett dem opp slik at du ser nummeret på hvert ledd i følgen.

Løsning

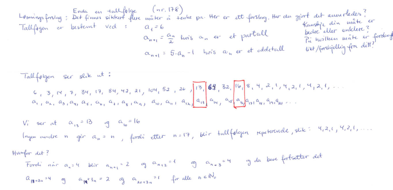
Løsningsforslag 1

 

løsningsforslag 2

 

 

 

Løsningsforslag 2

 

Ledd nummer

Leddets verdi

Utregning

1

6

 

2

3

\(\frac63\)

3

14

3\(\cdot\)5 - 1

4

7

\(\frac{14}2\)

5

34

7\(\cdot\)5 - 1

6

17

\(\frac{34}2\)

7

84

17\(\cdot\)5 - 1

8

42

\(\frac{84}2\)

9

21

\(\frac{42}2\)

10

104

21\(\cdot\)5-1

11

52

\(\frac{104}2\)

12

26

\(\frac{52}2\)

13

13

\(\frac{26}2\)

14

64

13\(\cdot\)5 - 1

15

32

\(\frac{64}2\)

16

16

\(\frac{32}2\)

17

8

\(\frac{16}2\)

18

4

\(\frac82\)

19

2

\(\frac42\)

20

1

\(\frac22\)

21

4

1\(\cdot\)5 - 1

22

2

\(\frac42\)

23

1

\(\frac22\)

I ledd nr. 13 og ledd nr. 16 er det n-te leddet lik n.

Fra og medd ledd nr. 18 vil leddene 4, 2 og 1 gjentas, så det vil ikke finnes flere løsninger.

 

Ressursen er utviklet av NRICH

10