Læreplankoblet

Stålkablar

Stikkord:

Aktivitet

Kablar kan gjerast sterkare ved å pakke dei saman i ei sekskanta form.

Biletet viser tverrsnittet av ein kabel i storleik 5. Den er sett saman av 61 trådar.

Thumbnail

Kor mange trådar trengst for å lage ein kabel i storleik 10?

Kor mange trådar trengst for ein kabel i storleik n?

Forklar korleis de tenkjer, og grunngi det de kjem fram til.

Så snart de har forstått kva problemet går ut på, kan de klikke dykk inn på lenkjene nedanfor. Der ligg det fire diagram som grupper av elevar har teikna.

Kan desse bileta gi dykk nokon idear til korleis de skal finne talet på trådar som oppgåvene ovanfor spør om?

Gruppe 1

Thumbnail

Quad står for firkant. 

Gruppe 2

Thumbnail

Gruppe 3

Thumbnail

Gruppe 4

Thumbnail

Det desse elevane har gjort, ligg i tillegg under Starthjelp. Der er det også teke med det gruppene har skrive, slik at de kan sjå kva dei har tenkt, og korleis dei har regna.

  • Kva for ein av dei fire måtane å tenkje på gir mest meining for deg?
  • Kva er du liker ved favoritt-tilnærminga di?

Kan du tenkje deg andre måtar å tenkje på enn dei fire som er vist her?

 

Starthjelp

Kjenner de nokon rask måte å leggje saman alle heile tal frå 1 til n? Viss ikkje er det lurt å undersøkje det først. (Søk på internett eller finn det i ei lærebok.)

Nedanfor er løysingane på oppgåvene, men her blir også vist korleis elevane arbeidde med diagramma. Kan de forklare korleis dei har tenkt?
Om du synest det er vanskeleg å lese teksten på bileta, kan du vise ein større versjon ved å åpne bilete i ei ny fane.

Gruppe 1

Thumbnail

Gruppe 2

Thumbnail

Gruppe 3

Thumbnail

Gruppe 4

Thumbnail

Viss de synest det er vanskeleg å forstå kva desse gruppene har tenkt og gjort, ut frå det dei har skrive, kan de prøve å forstå det ved å sjå på det dei har markert på figurane.

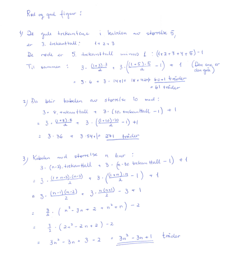
Løysing

Talet på trådar i ein kabel i storleik \(10\), er \(271\).

Talet på trådar i ein kabel i storleik \(n\) er \(3n^2-3n+1\).


 

Denne oppgåva kan løysast ved å dele opp figuren på mange ulike måtar.

I tillegg til dei fire måtane som er viste i oppgåva, finst det til dømes desse:

Thumbnail
Thumbnail

 

Her ser du ein framgangsmåte:

Ingvill si løysing

Ingvill sin løsning

 

 

Lærarrettleiing

Kvifor arbeide med denne oppgåva?

Mange elevar er vant til å bruke talmønster for å generalisere. Denne oppgåva gir ei alternativ tilnærming – ho utfordrar dei til å studere strukturen i problemet ved å prøve å forstå korleis andre har tenkt. Dette er ein viktig del av det å arbeide matematisk. Men la elevane først arbeide litt med problemet utan å sjå desse døma, slik at dei får sett seg godt inn i kva problemet går ut på.

Innsikta elevane kan få gjennom desse døma, kan vere til hjelp for å finne ein generell formel, og kan hjelpe elevane til å sjå verdien av ekvivalente algebraiske uttrykk.

Mogleg tilnærming

Byrj med å vise denne figuren:

Thumbnail

«Kablar kan gjerast sterkare ved å leggje trådar kompakt inntil kvarandre i ei sekskantform. Figuren viser ein kabel i storleik 5. Kan de, utan å telje kvar tråd, finne ut kor mange trådar han inneheld?»

Gi elevane litt tid til å tenkje seg om, først åleine og så i par, før de snakkar saman i klassen og lèt dei dele dei ulike metodane dei har brukt til å finne talet.

Del ut ark med oppgåva. Kopieringsoriginal finst i menyen til venstre.

«Kor mange trådar trengst for å lage ein kabel i storleik 10?»

Kopieringsoriginal til figurar som elevane kan teikne på medan dei arbeider, finst i menyen til venstre.

«Medan de arbeider med det, må de ha i tankane at de skal prøve å finne ein metode som fungerer, same kor tjukk kabel ein vil lage.»

Følg med medan elevane arbeider, og legg merke til kva metodar dei bruker. Når klassen er klar, samlast dei for å dele erfaringar. Få elevar som har brukt interessante metodar og resonnement, til å presentere arbeidet sitt.

Del ut arket med fire ulike måtar å tenkje på. Kopieringsoriginal finst i menyen til venstre.

«Her ser de korleis fire elevgrupper har teikna og tenkt. Forklar korleis kvar av figurane er brukte til å finne løysinga, og kontrollar at alle løysingane blir rette.»

Samanfatt i samla klasse til slutt. Var alle metodane greie å forstå? Hadde nokon av elevane brukt ein av dei fire løysingsmetodane som var viste på arket?

Korleis kan vi vise at løysingar som kan vere på ulik form, alle er rette? (t.d. \(3n^2-3n+1,\:1+3n(n-1)\) og \(3(n^2-1)+1\))

Gode rettleiingsspørsmål

  • Kan de finne ein enkel måte å leggje saman dei heile tala frå 1 til n på?

  • Sjå på bileta som dei ulike gruppene har brukt for å finne talet på trådar i ein kabel med storleik 5. Korleis ville dei ha teikna og regna viss dei såg på ein kabel i storleik 6?

Mogleg utviding

Utfordre elevane til å prøve å tenke ut endå fleire måtar å finne talet på trådar i kabelen på.

 

Send inn elevsvar

Til enhver tid vil det være mulig å sende inn løsning på noen av oppgavene på Mattelist.

Elever står fritt til å sende inn egne løsninger, men vi vil også gjerne at lærere sender inn besvarelser fra klassen sin.

Løsningsforslag kan bli publisert på sidene. Det kan være stas for klassen, samtidig som at andre elever og lærere kan bli inspirert.


Her er en liten veiledning:

  • Vi ønsker en løsning, ikke kun et svar.
  • Skriv løsningen slik at andre kan forstå hvordan du har tenkt.
  • Send gjerne bilder av arbeidet ditt.
  • Bruk gjerne illustrasjoner, grafer, tabeller, tegninger eller andre ting som viser hvilke hjelpemidler du har brukt i løsningen.
Løsningsforslag kan bli publisert på sidene!

Ressursen er utviklet av NRICH

9,10