Læreplankoblet

Problemets rot

Aktivitet

Alise har undersøkt summer med kvadratrøtter. Hun brukte et regneark for å lage kolonner med kvadratrøtter, og så la hun dem sammen etter forskjellige systemer.

Her er en av summene hun regnet ut:

\(\frac1{\sqrt1+\sqrt2}+\frac1{\sqrt2+\sqrt3}\:+\:...\:+\:\frac1{\sqrt{99}+\sqrt{100}}\)

Hun ble overrasket over svaret.

Finn en måte å regne ut svaret på uten å bruke lommeregner eller regneark.

Starthjelp

Hint 1

Det kan være en hjelp å begynne med å undersøke summen med regneark.

Hint 2

Det kan også være en hjelp å løse et enklere problem først, for eksempel hvis det er bare ett, to eller tre ledd i summen.

Hint 3

Når en brøk inneholder kvadratrøtter, bruker vi ofte å multiplisere telleren og nevneren med et uttrykk som gjør at vi blir kvitt røttene i nevneren. Det kan være nyttig å huske på at \((a + b)(a - b) = {a^2} - {b^2}.\)

Hint 4

Finn flere lignende summer med røtter som gir hele tall til svar.

Hint 5

Kan dere skrive brøken \(\frac{1}{{\sqrt n + \sqrt {n + 1} }}\) på en måte slik at det ikke blir noe rotuttrykk i nevneren?

 

 

 

Løsning

Løsningsforslag 1

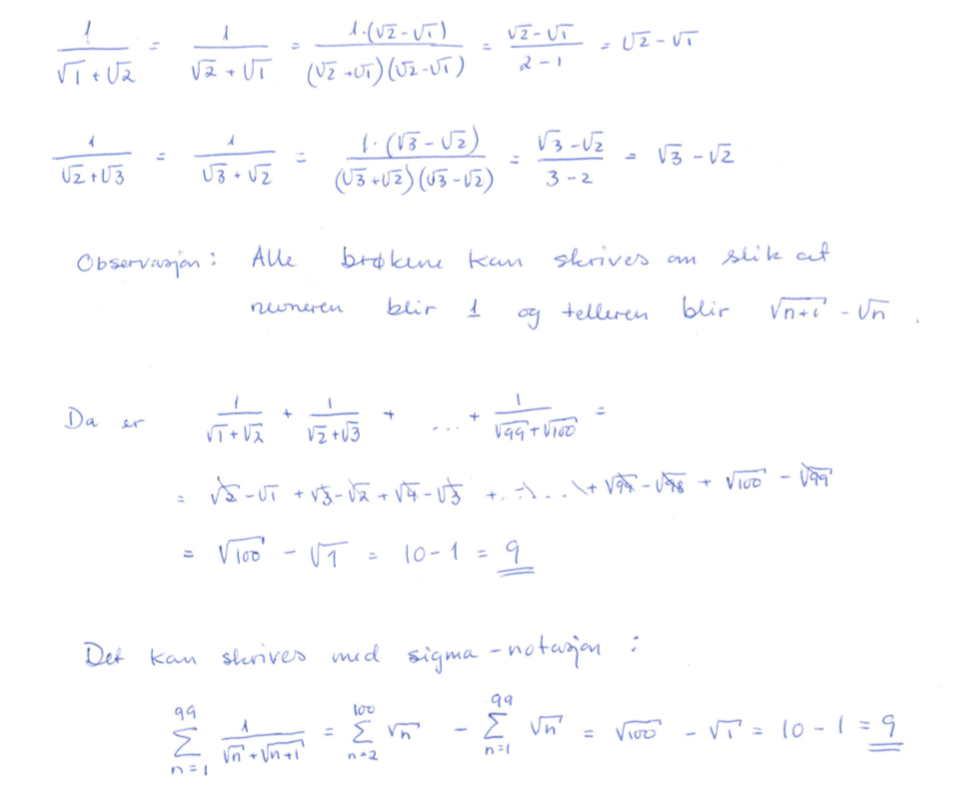
\(\begin{array}{l} \frac{1}{{\sqrt 1 + \sqrt 2 }} + \frac{1}{{\sqrt 2 + \sqrt 3 }} + \frac{1}{{\sqrt 3 + \sqrt 4 }} + ... + \frac{1}{{\sqrt {98} + \sqrt {99} }} + \frac{1}{{\sqrt {99} + \sqrt {100} }} = \\ \\ \frac{{1 \cdot \left( {\sqrt 1 - \sqrt 2 } \right)}}{{\left( {\sqrt 1 + \sqrt 2 } \right)\left( {\sqrt 1 - \sqrt 2 } \right)}} + \frac{{1 \cdot \left( {\sqrt 2 - \sqrt 3 } \right)}}{{\left( {\sqrt 2 + \sqrt 3 } \right)\left( {\sqrt 2 - \sqrt 3 } \right)}} + \frac{{1 \cdot \left( {\sqrt 3 - \sqrt 4 } \right)}}{{\left( {\sqrt 3 + \sqrt 4 } \right)\left( {\sqrt 3 - \sqrt 4 } \right)}} + ...\\ \\ {\rm{ }} + \frac{{1 \cdot \left( {\sqrt {98} - \sqrt {99} } \right)}}{{\left( {\sqrt {98} + \sqrt {99} } \right)\left( {\sqrt {98} - \sqrt {99} } \right)}} + \frac{{1 \cdot \left( {\sqrt {99} - \sqrt {100} } \right)}}{{\left( {\sqrt {99} + \sqrt {100} } \right)\left( {\sqrt {99} - \sqrt {100} } \right)}} = \\ \\ \frac{{\sqrt 1 - \sqrt 2 }}{{1 - 2}} + \frac{{\sqrt 2 - \sqrt 3 }}{{2 - 3}} + \frac{{\sqrt 3 - \sqrt 4 }}{{3 - 4}} + ... + \frac{{\sqrt {98} - \sqrt {99} }}{{98 - 99}} + \frac{{\sqrt {99} - \sqrt {100} }}{{99 - 100}} = \\ \\ \frac{{\sqrt 1 - \sqrt 2 }}{{ - 1}} + \frac{{\sqrt 2 - \sqrt 3 }}{{ - 1}} + \frac{{\sqrt 3 - \sqrt 4 }}{{ - 1}} + ... + \frac{{\sqrt {98} - \sqrt {99} }}{{ - 1}} + \frac{{\sqrt {99} - \sqrt {100} }}{{ - 1}} = \\ \\\scriptstyle - \sqrt 1 + \left( {\sqrt 2 - \sqrt 2 } \right) + \left( {\sqrt 3 - \sqrt 3 } \right) + \sqrt 4 - ... - \sqrt {98} + \left( {\sqrt {99} - \sqrt {99} } \right) + \sqrt {100} = \\ \\ - \sqrt 1 + \sqrt {100} = \\ - 1 + 10 = \\ 9 \end{array}\)

Løsningsforslag 2

63 løsning

 

Lærerveiledning

Hvorfor arbeide med denne oppgaven?

Denne oppgaven gir elevene anledning til å øve på manipulering av røtter i nevneren. De vil også se at hvis de prøver å forenkle problemet ved å avrunde tallene, får de en mye mer komplisert og uoversiktlig oppgave. 

Mulig tilnærming

Be elevene bruke regneark for å regne ut deler av følgen
\(\frac{1}{{\sqrt 1 + \sqrt 2 }} + \frac{1}{{\sqrt 2 + \sqrt 3 }} + ... + \frac{1}{{\sqrt {99} + \sqrt {100} }}\)

Rekken må alltid begynne med samme brøk, men elevene kan velge hvor mange ledd de vil ta med. Forhåpentligvis blir de overrasket over å se at i flere tilfeller blir summen et helt tall. Kan de lage en hypotese om når det inntreffer?

Be så elevene om å regne uten hjelpemidler. De kan begynne med uttrykket \(\frac{1}{{\sqrt 1 + \sqrt 2 }} + \frac{1}{{\sqrt 2 + \sqrt 3 }}\)

Kanskje må du minne dem på hva vi kan gjøre for å bli kvitt rotuttrykket i nevneren.

De skal ta med stadig flere ledd før de generaliserer.

Gode veiledningsspørsmål

  • La det høyeste tallet under rottegnet i den siste brøken være n. For hvilke verdier av n blir summen av rekken et helt tall?
  • Kan dere skrive brøken \(\frac{1}{{\sqrt 1 + \sqrt 2 }}\) på en slik måte at det ikke blir noe rotuttrykk i nevneren? Kan dere gjøre tilsvarende med de neste brøkene? 

Mulig utvidelse

Hva blir summen hvis den siste nevneren er \(\sqrt {n - 1} + \sqrt n\)?

 

Illustrasjonsfoto: Good Free Photos

Ressursen er utviklet av NRICH

10